运算放大器的工作原理 运算放大器的功能以及用途
今天带来的生活小经验运算放大器的功能以及用途和运算放大器的工作原理的生活小经验,下面为您详细介绍
运算放大器是能对信号进行数学运算的放大电路,具有很高放大倍数的电路单元,是模拟电子电路的基本组成部分之一。
运算放大器的作用就是放大信号。传感器+运算放大器+ADC+处理器是运算放大器的典型应用电路,此电路对于微弱信号的放大,只用单个放大器难以达到好的效果,必须使用一些较特别的方法和传感器激励手段。

而使用同步检测电路结构可以得到非常好的测量效果。这种同步检测电路类似于锁相放大器结构,包括传感器的方波激励、电流转电压放大器、和同步解调三部分。需要注意的是电流转电压放大器需选用输入偏置电流极低的运放。
运算放大器是一种具有非常高增益的直流差分放大器,使用一个或多个外部反馈网络来控制其响应和特性。一个理想的运算放大器必须具备下列特性:无限大的输入阻抗、等于零的输出阻抗、无限大的开回路增益、无限大的共模排斥比的部分、无限大的频宽。
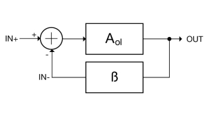
最基本的运算放大器如下图。一个运算放大器模组一般包括一个正输入端(OP_P)、一个负输入端(OP_N)和一个输出端(OP_O)。

最基本的运算放大器
通常使用运算放大器时,会将其输出端与其反相输入端(inverting input node)连接,形成一负反馈(negativefeedback)组态。
原因是运算放大器的电压增益非常大,范围从数百至数万倍不等,使用负反馈方可保证电路的稳定运作。

但是这并不代表运算放大器不能连接成正回馈(positive feedback),相反地,在很多需要产生震荡讯号的系统中,正回馈组态的运算放大器是很常见的组成元件。
常用的集成运放有单运放、双运放、四运放。这些仅是为它在不同条件和功能要求而制造而己。
集成运放根据性能要求,可分为通用型和专用型。通用型的直流特性较好,性能上能够满足许多领域应用的需要,价格也便宜。专用型运放低功耗型与高输入阻抗型、高速型、高精度型及高电压型等等。
虽然集成运放的产品种类很多,内部电路也各有差异,但从电路的中总体结果上来看又有许多共同之处。它们实际上都是直接耦合的多级放大器,极高的电压放大倍数。
上面(www.changshishe.com)为您介绍的运算放大器的功能以及用途以及运算放大器的工作原理的具体介绍,希望大家能喜欢!
相关阅读
-
摆地摊需要准备什么东西好卖 新手摆摊卖水果小本生意经验
全面为您解析摆地摊需要准备什么东西好卖方面的内容,接下来一起来看看吧。 摆摊经验第一篇:新手如何摆摊卖水果,需要准备哪些工作? 不少朋友表示自己有摆摊卖水果的想法,就是不知
-
正科级退休工资大概多少钱 一般正科级退休金每月多少工资
全面为您解析一般正科级退休金每月多少工资和正科级退休工资大概多少钱的介绍,继续往下看吧! 公务员的众多福利中,包含了退休金这一项。在以往,公务员退休金是按照退休前工资来算
-
网格员和社区工作者待遇差别 两个岗位工作内容及收入区别
小编带来的是两个岗位工作内容及收入区别和网格员和社区工作者待遇差别的知识内容,具体详情如下: 距离2022届大学生毕业只有3个多月的时间,经预测今年高校应届毕业生将首次突破1000万
-
狱警工资一般多少钱一个月 狱警报考的条件要求及流程
跟大家说一说狱警报考的条件要求及流程和狱警工资一般多少钱一个月的生活小知识,下面为详细的介绍。 狱警作为特殊公务员,有普通公务员比不了的好处,也有身在其中才知道的苦楚。


