调和级数为什么发散 有关调和级数发散的两个简洁证明(3)

每一项都大于它下面的一项。奇级数大于偶级数。
这两个级数既相等又不相等。出现矛盾。因此,调和级数收敛的前提是错误的。这个系列是发散的。
此外,每增加一项,部分和就增加一项。我们不仅知道级数是发散的,我们还知道它会无限地变大。
下一个:一个更直观的方法,需要一点点微积分知识。
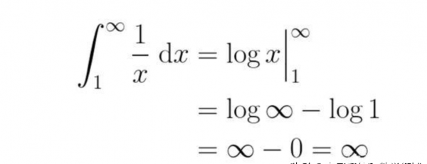
在下面的插图中,级数的每一项都对应于矩形的面积。每个矩形都在曲线上方一点点。因此,x = 1右侧曲线下的面积必须小于级数的和

这很好,但是曲线下的面积是多少?

曲线下的面积无限增大。因此,矩形内的面积总和也必须无限地增加。
这是真的。
所以我们可以从第一个证明开始知道调和级数是收敛的。然后,我们可以把它作为我们的目标来证明曲线下的面积是无限的。

我们把矩形移到左边现在它们都在曲线下面。只考虑x = 1右侧的面积。矩形面积的和比级数的和小1。但是我们的第一个证明使我们确信和式趋于无穷。
删除第一个矩形不会改变它。曲线下的面积越大,矩形面积也必然是趋于无穷大。
以上www.changshishe.com带来的有关调和级数发散的两个简洁证明跟调和级数为什么发散的详细讲解,仅供大家参考建议!
相关阅读
-
中国科技大学在哪个城市 中国科学技术大学基本情况介绍
为大家介绍的是中国科技大学在哪个城市的相关话题,具体详情如下: 今天给大家带来的是中国科学技术大学! 中国科学技术大学简称中国科大,创建于1958年9月, 坐落于安徽省合肥市 。 中
-
全国最难的卷子是哪个省 全国最难高考卷排名
常识社网网为大家说一说全国最难高考卷排名和全国最难的卷子是哪个省的生活小知识,一起来看看吧! 我国高考“最难”的两个省份,题目难,录取率低,学生叫苦不迭! 我国高考目前还是
-
曼彻斯特大学排名2023 备受青睐的宝藏英国名牌大学
关于曼彻斯特大学排名2023的相关知识,接下来就是全面介绍。 备受青睐的宝藏英国名牌大学——曼彻斯特大学 曼彻斯特大学 The University of Manchester 曼彻斯特大学是一所门类齐全、科系众多的
-
天津高考赋分制21个等级表 新高考等级赋分是什么意思
「常识社」网为大家说一说天津高考赋分制21个等级表方面的经验,如有不对的地方欢迎指正! 新高考改革自从2023年在天津实施以来,最重要的变化就是高考赋分制的实行。 虽说该制度目前已


