调和级数为什么发散 有关调和级数发散的两个简洁证明(2)

根据划分的的方式,这个级数的值是0或1。它是发散的:部分和在0和1之间交替,直到无穷。它不是趋向一个单一的值
所以我们只能以这种方式分解一个收敛级数。而且,级数必须是绝对收敛的。绝对收敛意味着即使我们取每个项的绝对值,级数也会收敛。如果我们用一个发散级数来尝试,最终就会出现非常严重的问题。
我们假设调和级数收敛。因为每个项都是正的,所以假设意味着绝对收敛。我们可以继续

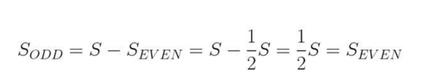
由上可知,偶数级数与奇数级数的和相等:

接下来,我们逐项比较偶级数和奇级数:
相关阅读
-
中国科技大学在哪个城市 中国科学技术大学基本情况介绍
为大家介绍的是中国科技大学在哪个城市的相关话题,具体详情如下: 今天给大家带来的是中国科学技术大学! 中国科学技术大学简称中国科大,创建于1958年9月, 坐落于安徽省合肥市 。 中
-
全国最难的卷子是哪个省 全国最难高考卷排名
常识社网网为大家说一说全国最难高考卷排名和全国最难的卷子是哪个省的生活小知识,一起来看看吧! 我国高考“最难”的两个省份,题目难,录取率低,学生叫苦不迭! 我国高考目前还是
-
曼彻斯特大学排名2023 备受青睐的宝藏英国名牌大学
关于曼彻斯特大学排名2023的相关知识,接下来就是全面介绍。 备受青睐的宝藏英国名牌大学——曼彻斯特大学 曼彻斯特大学 The University of Manchester 曼彻斯特大学是一所门类齐全、科系众多的
-
天津高考赋分制21个等级表 新高考等级赋分是什么意思
「常识社」网为大家说一说天津高考赋分制21个等级表方面的经验,如有不对的地方欢迎指正! 新高考改革自从2023年在天津实施以来,最重要的变化就是高考赋分制的实行。 虽说该制度目前已


