江苏省高考总分是多少 江苏省新高考模式全面解读
一篇小知识,与您分享江苏省高考总分是多少方面的内容,接下来本站小编为大家介绍。
随着7月2日,2023高考志愿填报结束,这届高三学生也就尘埃落定了。接下来,准高一、高二、高三的学生,就需要利用暑期,把学习重心做出调整。
对于家长和学生而言,调整是为了高考。工欲善其事,必先利其器,所以在这之前,一定要清楚了解,关于高考的最新升学政策。
大家知道,自江苏省2023年开始施行新高考以来,改革了多项影响高考的因素。
针对这些繁杂的“新名称”,小慧将和大家一起,分期解读,方便大家提前做出规划。本篇就从新高考基础篇开始,为大家解读:选考科目、总分计算、等级分、选科、合格考5个方面。
高考科目:3 + 1 + 2
江苏省选科实行“3+1+2”模式,选科时间在高一下至高二上:
“3”:使用全国卷,语文、数学、外语(包括英语、西班牙语、俄语等),为所有学生必考,不分文理,均以卷面原始成绩计入总分;
“1”:江苏省自主命题,学生在物理和历史中选择一门,以卷面原始成绩计入总分;
“2”:江苏省自主命题,在政治、地理、化学和生物4门科目中任意选择2门科目,以等级赋分后纳入高考总成绩。

高考总分:750分
新高考改革之后,文化课高考总分由之前的480分变成当下的750分,语、数、外3科各150分,其中包含外语听力30分。
3门选择性考试科目每门100分。其中,物理、历史以原始分计入总分;其余科目(思想政治、地理、化学、生物)以等级分计入总分。

原始分与等级分
原始分:
考多少分,就是多少分。直接将分数累加入高考总分;
等级分:
将“绝对分”转换成“位次分”,以保证成绩的公平性。在江苏省实行的“3+1+2”模式中,再选科目原始分为100分,转换时按30分作为等级转换的赋分起点,具体转换步骤如下:
第一步:
按照考生原始分从高到低划定 A、B、C、D、E共五个等级,各等级人数所占比例分别约为 15%、35%、35%、13%、2%,从而将考生的原始分转换成了等级。
第二步:
将A至E五个等级内的考生原始分,依照等比例转换法则,分别对应转换到100-86、85-71、70-56、55-41、40-30五个分数段.
根据转换公式计算,四舍五入得到考生转换后的等级分。转换后的等级成绩一分一档,考生排序不变。
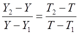
赋分公式如下:

其中:
Y1、Y2分别表示原始分区间的下限和上限;
T1、T2分别表示转换分区间的下限和上限;
Y表示原始分,T表示转换分。
示例:
假设某一学生化学原始分为75分,该分数排名落在B等级内,且B等级的原始分区间上限和下限分别是82分和61分,那么按照公式,该同学的转换分数应为:
相关阅读
-
曼彻斯特大学排名2023 备受青睐的宝藏英国名牌大学
关于曼彻斯特大学排名2023的相关知识,接下来就是全面介绍。 备受青睐的宝藏英国名牌大学——曼彻斯特大学 曼彻斯特大学 The University of Manchester 曼彻斯特大学是一所门类齐全、科系众多的
-
天津高考赋分制21个等级表 新高考等级赋分是什么意思
「常识社」网为大家说一说天津高考赋分制21个等级表方面的经验,如有不对的地方欢迎指正! 新高考改革自从2023年在天津实施以来,最重要的变化就是高考赋分制的实行。 虽说该制度目前已
-
中国科技大学在哪个城市 中国科学技术大学基本情况介绍
为大家介绍的是中国科技大学在哪个城市的相关话题,具体详情如下: 今天给大家带来的是中国科学技术大学! 中国科学技术大学简称中国科大,创建于1958年9月, 坐落于安徽省合肥市 。 中
-
全国最难的卷子是哪个省 全国最难高考卷排名
常识社网网为大家说一说全国最难高考卷排名和全国最难的卷子是哪个省的生活小知识,一起来看看吧! 我国高考“最难”的两个省份,题目难,录取率低,学生叫苦不迭! 我国高考目前还是


