什么叫切应力互等定理 切应力互等定律及应力状态分类(2)

我们解释以下这个式子,第一项就是力乘以力臂:
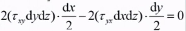
即切应力对应的面的内力的合力(用Tor xy乘以对应的截面面积得到)乘以此合力的作用线到Z轴的距离dx/2,前边乘以2的原因就是在和x面正方向相反的负方向上切应力Tor xy与此Tor xy大小相等方向相反。
根据右手定则可知,此应力对应的内力的合力对于所对应的力矩方向和前者相同,同为正,且此合力的大小以及力臂的长度均不变,所以乘以2;
第二项就是这个Tor yx,根据右手定律我们可以看出,此应力对应的内力的合力对于Z轴产生的力矩和第一项中的 Tor xy产生的是方向相反的。
所以第二项前的符号为负,同理,由于在y轴的负方向还有另一个y面上的应力Tor yx 与此Tor yx 大小相等,方向相反,且对于z轴的作用效果相同。则前面同样乘以2。
我们对于1式,化简可以得到:

同样的道理,根据对于y轴和x轴取矩的和力矩为0;我们会得到:

至此,我们便得到了切应力互等定律。用文字描述便是:在受力构件内过一点相互垂直的两个微面上,垂直于两微面交线的切应力大小相等,方向相向或相背。
这一规律称为切应力互等定律。有的时候也会这么说:过构件上一点互相正交的两个微面上的切应力成对出现。
接下来我们来讨论下应力的状态:
第一种,最复杂最一般的状态为:三向应力状态,如下图2。
相关阅读
-
中国科技大学在哪个城市 中国科学技术大学基本情况介绍
为大家介绍的是中国科技大学在哪个城市的相关话题,具体详情如下: 今天给大家带来的是中国科学技术大学! 中国科学技术大学简称中国科大,创建于1958年9月, 坐落于安徽省合肥市 。 中
-
天津高考赋分制21个等级表 新高考等级赋分是什么意思
「常识社」网为大家说一说天津高考赋分制21个等级表方面的经验,如有不对的地方欢迎指正! 新高考改革自从2023年在天津实施以来,最重要的变化就是高考赋分制的实行。 虽说该制度目前已
-
全国最难的卷子是哪个省 全国最难高考卷排名
常识社网网为大家说一说全国最难高考卷排名和全国最难的卷子是哪个省的生活小知识,一起来看看吧! 我国高考“最难”的两个省份,题目难,录取率低,学生叫苦不迭! 我国高考目前还是
-
曼彻斯特大学排名2023 备受青睐的宝藏英国名牌大学
关于曼彻斯特大学排名2023的相关知识,接下来就是全面介绍。 备受青睐的宝藏英国名牌大学——曼彻斯特大学 曼彻斯特大学 The University of Manchester 曼彻斯特大学是一所门类齐全、科系众多的


