史上最难的数学题 世界上最难的奥数题是什么(2)

双子座就是这样的素数,只相差 2。例如,11 和 13,以及 5 和 3 或 599 和 601。如果自古以来已经多次证明了一系列素数的无穷大,那么孪生数的无穷大值得怀疑。
从 2 开始,素数中没有偶数,从 3 开始,没有人可以被 3 整除的素数。因此,如果从系列中减去所有符合“除法规则”的值,则可能的双胞胎数量会越来越少。求此类数的公式的唯一模块是 6,公式如下所示:6n ± 1。
在数学中,如果问题没有“正面”解决,就会从另一端解决。例如,2013年证明相差7000万的素数是无限的。
同时,相差不到一个月,差值就提高到了59 470 640,然后又提高了一个数量级——到了4 982 086。
目前,无穷大是有理论依据的一对质数相差 12 和 6,但相差仅 246。与其他此类问题一样,孪生数假设对于密码学尤其重要。
黎曼猜想

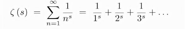
简而言之,伯恩哈德·黎曼 (Bernhard Riemann) 提出质数在所有自然数集上的分布不遵守任何规律。
但是它们在数值级数的给定区域中的数量与某些值在 zeta 函数图上的分布相关。它位于更高的位置,并且对于每个人 s 给出无限数量的项目。
例如,当 2 代替 s 时,结果是一个已经解决的“巴塞尔问题”——一系列平方反比 (1 + 1/4 + 1/9 + 1/16 +…)。
“千禧年难题”之一,为解决该问题分配了100万美元的奖金,以及进入现代数学“众神”的万神殿。
事实上,这一假设的证明将大力推动数论向前发展,以至于这一事件将理所当然地被称为历史事件。
数学中的许多计算和陈述都是建立在“黎曼假设”成立的假设之上的,至今没有让任何人失望。
这位德国数学家在 160 年前就提出了这个著名的问题,从那时起,它已经被解决了无数次,但进展非常缓慢。
Birch 和 Swinnerton-Dyer 猜想

另一个“千年挑战”,克莱研究所将为此提供一百万美元的解决方案。对于数学家来说,至少在一般意义上很难表述和理解假设的本质是什么。
Birch 和 Swinnerton-Dyer 假设了椭圆曲线的某些特性。这个想法是可以通过知道的 zeta 函数的零阶来确定曲线的等级。
正如他们所说,没有什么是清楚的,但非常有趣。
椭圆曲线是图形上看似无害的 y² = x³ + ax + b 形式的方程描述的那些线。它们的一些性质对代数和数论极为重要,解决这个问题可以极大地推动科学向前发展。
最大的进展是在 1977 年由来自英国和美国的一组数学家取得的,他们能够找到一个特殊情况下 Birch 和 Swinnerton-Dyer 猜想的证明。
等球体的密堆积问题
相关阅读
-
天津高考赋分制21个等级表 新高考等级赋分是什么意思
「常识社」网为大家说一说天津高考赋分制21个等级表方面的经验,如有不对的地方欢迎指正! 新高考改革自从2023年在天津实施以来,最重要的变化就是高考赋分制的实行。 虽说该制度目前已
-
曼彻斯特大学排名2023 备受青睐的宝藏英国名牌大学
关于曼彻斯特大学排名2023的相关知识,接下来就是全面介绍。 备受青睐的宝藏英国名牌大学——曼彻斯特大学 曼彻斯特大学 The University of Manchester 曼彻斯特大学是一所门类齐全、科系众多的
-
全国最难的卷子是哪个省 全国最难高考卷排名
常识社网网为大家说一说全国最难高考卷排名和全国最难的卷子是哪个省的生活小知识,一起来看看吧! 我国高考“最难”的两个省份,题目难,录取率低,学生叫苦不迭! 我国高考目前还是
-
中国科技大学在哪个城市 中国科学技术大学基本情况介绍
为大家介绍的是中国科技大学在哪个城市的相关话题,具体详情如下: 今天给大家带来的是中国科学技术大学! 中国科学技术大学简称中国科大,创建于1958年9月, 坐落于安徽省合肥市 。 中


