史上最难的数学题 世界上最难的奥数题是什么
本文为您带来的是世界上最难的奥数题是什么和史上最难的数学题的相关话题,具体内容如下:
几个世纪以来,人类最优秀的头脑已经解决了一个又一个数学问题,但到目前为止,还有几个问题没有向任何人屈服。为了找到解决方案的算法,一些基金和公司准备支付大量资金。

科拉茨假说

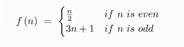
其他名称:3n + 1 猜想、雪城问题、冰雹数。如果你取任何自然数 n 并用它进行以下变换,迟早你总会得到一个。
偶数 n 必须一分为二,奇数 n 必须乘以 3 并加 1。对于数字 3,序列将是这样的:3 × 3 + 1 = 10, 10: 2 = 5, 5 × 3 + 1 = 16, 16: 2 = 8, 8: 2 = 4, 4: 2 = 2 , 2: 2 = 1。
显然,如果从 1 继续转换,则循环 1、4、2 将开始。很快,计算中的步数开始超过一百,并且需要越来越多的资源来解决每个新序列。
近一个世纪前,在解决这个问题方面几乎没有进展,上个月才从字面上概述了这一点。然而,美国著名数学家陶哲轩只是离他最近,却始终没有找到答案。
Collatz 假设是动力系统等数学学科的基础,而动力系统又对许多其他应用科学(如化学和生物学)很重要。
Syracuse 问题看起来是一个简单、无害的问题,但这正是它的特别之处。为什么这么难解决?
哥德巴赫问题(二进制)

另一个问题,其措辞看起来比蒸萝卜简单——任何偶数(大于 2)都可以表示为两个素数的和。而这正是现代数学的基石。
对于小值,这个陈述很容易在心理上得到验证:18 = 13 + 5, 42 = 23 + 19。而且,考虑到后者,我们可以很快理解问题的全部深度,因为 42 既可以表示为 37 + 5 和 11 + 31,也可以表示为 13 + 29 和 19 + 23。
对于超过一千的数字,术语对的数量变得非常庞大。这在密码学中非常重要,但即使是最强大的超级计算机也无法无限地迭代所有值,因此需要对所有自然数进行一些明确的证明。
这个问题是由克里斯蒂安·哥德巴赫在 1742 年与另一位伟大的数学家伦纳德·欧拉的通信中提出的。
克里斯蒂安本人以更简单的方式提出了这个问题:“每个大于 5 的奇数都可以表示为三个质数的和。”
2013 年,秘鲁数学家 Harald Helfgott 找到了这个选项的最终解决方案。然而,欧拉提出的这个说法的后果,被称为“二元哥德巴赫问题”,仍然无人能及。
双数假说
相关阅读
-
天津高考赋分制21个等级表 新高考等级赋分是什么意思
「常识社」网为大家说一说天津高考赋分制21个等级表方面的经验,如有不对的地方欢迎指正! 新高考改革自从2023年在天津实施以来,最重要的变化就是高考赋分制的实行。 虽说该制度目前已
-
曼彻斯特大学排名2023 备受青睐的宝藏英国名牌大学
关于曼彻斯特大学排名2023的相关知识,接下来就是全面介绍。 备受青睐的宝藏英国名牌大学——曼彻斯特大学 曼彻斯特大学 The University of Manchester 曼彻斯特大学是一所门类齐全、科系众多的
-
全国最难的卷子是哪个省 全国最难高考卷排名
常识社网网为大家说一说全国最难高考卷排名和全国最难的卷子是哪个省的生活小知识,一起来看看吧! 我国高考“最难”的两个省份,题目难,录取率低,学生叫苦不迭! 我国高考目前还是
-
中国科技大学在哪个城市 中国科学技术大学基本情况介绍
为大家介绍的是中国科技大学在哪个城市的相关话题,具体详情如下: 今天给大家带来的是中国科学技术大学! 中国科学技术大学简称中国科大,创建于1958年9月, 坐落于安徽省合肥市 。 中


