为什么越乐观的人越容易抑郁 如何应对看似微笑的抑郁(2)

经过研究发现,那些微笑抑郁症的人大部分是一些享有社会地位,学历相当、有一定能力的职业技术人员、一些行政人员,或者是高级管理人员。这些人与人打交道时,需要维持自己的形象、有时候不得不伪装真实的自己。
关于为何长时间伪装自己容易抑郁这个问题进行研究时,心理学家Rita Labeaune说,当我们用微笑来隐藏低落的情绪时,它是一种防御机制:不再是一种表达自己内心喜悦的自然流露,而是逐渐变成了对内心悲伤的掩饰和证明。
但研究证明,这种防御是有害的,它是一种“表达抑制” (expressive suppression)的情绪管理策略。
在得知过度掩盖自己情绪是有害的后,我们该如何走出困境呢?
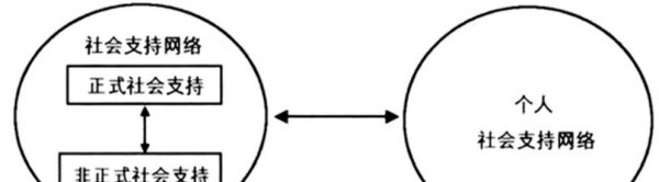
1、我们要学会建立自己的社会支持系统。

社会支持系统就是让社交圈子帮助自己,人是群居性动物,所以需要人际交往的支持。心理学家研究表明良好的关系,不仅能够使得人们身心获得健康,还会让人体验到幸福感。
那么社会支持系统就是在社交圈中,让自己信赖的人给予自己情感上的动力和支持。
社会支持系统分为:正式的形式:即社会舆论和团体的支持、组织团队的支持等等。非正式的形式:亲人、朋友的赞美、夸赞、鼓励等等。

也就是在自己痛苦的时候,有人可以支持我们,比如内心煎熬无比时,可以找人倾诉甚至可以获得他们有效的帮助与理解。
2、学会表达自己真实的感受

在微笑抑郁症患者的内心深处,ta们是极其抗拒自己真实的情感,也许会害怕别人失望,在自己痛苦和别人失望中,ta们会毫不犹豫选择前者。
但我在咨询中会发现,其实在生活里,感到悲伤和抑郁是正常且不可避免的,毕竟人不可能一辈子都只生活在快乐之中。
而让你选择了微笑着抑郁的,归根结底是关系的问题——你害怕没有人愿意看见那个抑郁的你。你害怕当你暴露出自己的痛苦和脆弱之时,没有人会在意。
所以尝试表达自己真实的感情非常重要,也许在你眼里有负面情绪是一件很丢人的事情,甚至你会害怕拒绝。
这是因为你过去经验带给你的创伤,这个世界还是存在很多友好并且能够理解他人痛苦的人,所以改变你对待自己和外在的认知非常重要。
以上是常识社网[www.changshishe.com]关于如何应对看似微笑的抑郁和为什么越乐观的人越容易抑郁的全部内容,网友们不妨在这方面予以借鉴
相关阅读
-
对收礼物有负担的女生 不收礼物的女孩子心里是怎么想的
跟大家分享不收礼物的女孩子心里是怎么想的和对收礼物有负担的女生的相关知识,具体介绍如下: 男生们也许觉得送自己喜欢的女生礼物是再正常的一件事情,也很希望女生能收下礼物,这
-
腹黑的男生特征有哪些 什么样特点的男生属于腹黑类型
今天为网友们详解什么样特点的男生属于腹黑类型和腹黑的男生特征有哪些的生活小经验,接下来一起来看看吧。 在我们的圈子中肯定有一部分人是城府极深的也叫腹黑,那这些人有什么特征
-
奇迹男孩剧情详细介绍 奇迹男孩主要讲述一个什么样的故事
一篇很详细的介绍是关于奇迹男孩主要讲述一个什么样的故事和奇迹男孩剧情详细介绍方面的内容,具体内容如下: 奇迹男孩 01.简介 《奇迹男孩》是由美国狮门影业出品的家庭剧情片,该片
-
梦见有好多腊肉是什么征兆 梦见很多腊肉是什么意思
常识社网网为大家说一说梦见有好多腊肉是什么征兆的知识内容,关于梦见有好多腊肉是什么征兆及其梦见很多腊肉是什么意思,具体介绍如下: 1、梦见了很多腊肉,下午的沟通运势较明显,


