电子双缝干涉实验说明了什么 这实验和物质波有什么关系(2)

物体的波长"λ"有一个计算公式,λ=h/p,其中h是普朗克常数,p是物体的动量。我们现实中看到的所有东西都具有波动性,也都有波长。
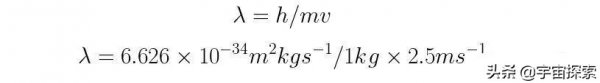
比如说,一个篮球,它的波长应该是多少呢,带入公式里很容易就能计算出来,一个篮球质量大约一千克左右,那么篮球的波长λ就应该是:

λ大约等于10的-34次方米。看到没有,宏观世界物体的波长实在太短了,所以几乎不可能体现出波动性,而只有粒子性,也就是确定性。
所以我们看到的宏观世界都是确定的,有确定的位置,速度,并不想微观世界那么模糊,那么不确定。
而且,在双缝实验中,只有物体的波长与双缝的宽度大体相当时,实验本身才有意义。
也就是说,我们需要宽度只有10的-34次方米的狭缝,目前的人类科技根本做不出如此微小的狭缝。
而微观粒子由于动量(质量)很小,对狭缝的宽度要求没有宏观物体那么苛刻。
所以用微观粒子就可以做双缝干涉实验。
德布罗意的物质波概念,彻底颠覆了人们对现实世界的认知,任何物体都具有波动性,都有波长。

物质波的概念并不像我们现实生活中看到的池塘里的水波。
而是一种“概率波”,这种“概率波”决定了任何物体都是无法准确定位的,因为他们的位置是不确定的。
比如说一块石头,严格来讲,我们并不是准确说出石头到底在哪里。
而是“石头可能在这里或者那里”,说白了石头是“无处不在”的,至于到底在哪里,只能用概率描述。
不过这种“用概率去描述物体的位置”很难体现在宏观世界里。
因为宏观世界的物体质量很大,波长很短,很难体现出波动性,以至于我们只能看到宏观物体的粒子性,也就是确定性。
上面(www.changshishe.com)为您介绍的这实验和物质波有什么关系和电子双缝干涉实验说明了什么的相关讲解,希望为您的生活带来一点小帮助!
相关阅读
-
中国科技大学在哪个城市 中国科学技术大学基本情况介绍
为大家介绍的是中国科技大学在哪个城市的相关话题,具体详情如下: 今天给大家带来的是中国科学技术大学! 中国科学技术大学简称中国科大,创建于1958年9月, 坐落于安徽省合肥市 。 中
-
全国最难的卷子是哪个省 全国最难高考卷排名
常识社网网为大家说一说全国最难高考卷排名和全国最难的卷子是哪个省的生活小知识,一起来看看吧! 我国高考“最难”的两个省份,题目难,录取率低,学生叫苦不迭! 我国高考目前还是
-
曼彻斯特大学排名2023 备受青睐的宝藏英国名牌大学
关于曼彻斯特大学排名2023的相关知识,接下来就是全面介绍。 备受青睐的宝藏英国名牌大学——曼彻斯特大学 曼彻斯特大学 The University of Manchester 曼彻斯特大学是一所门类齐全、科系众多的
-
天津高考赋分制21个等级表 新高考等级赋分是什么意思
「常识社」网为大家说一说天津高考赋分制21个等级表方面的经验,如有不对的地方欢迎指正! 新高考改革自从2023年在天津实施以来,最重要的变化就是高考赋分制的实行。 虽说该制度目前已


