高考赋分制21个等级表 新高考模式下的赋分值是怎么算的(2)

从上图可以很直观的看出:
1、想要得100分,将变的困难。
按照原先的赋分规则,化学科目卷面分在90分以上就可以赋到100分(即前1%的人数),现在则要卷面分97分以上才能拿100分。
通俗一点讲,原来100分之后直接为97分。新的赋分规则后,100分中的一部分人将变为99分,原来97分的一部分人变为98分。而这个区间段的总人数是不变的,即为前3%。
2.对于该学科顶层的学生来说,分数的区分度减小了,想要靠选考科目拉大分差的可能性减小或不存在了。如上图,原来规则,卷面分为90分或97分,最后赋分都是100分。
卷面分89分的同学只能赋分为97分。卷面相差1分,赋分相差3分。而根据新规则,97分赋分为100分,90分只能赋分98分,89分赋分为97分。
3.中等及以上的学生(20%),分数段变得集中,避免出现卷面分差一分,实际赋分差3分的情况,降低拉分风险,追上第一梯队的可能性更大(缩小与学霸的差距),也显得更为公平合理。
如上图,原来规则,85分赋分94分,而84分只能同赋分为91分,而新规则下,84分能赋分为93分。选考科目赋分越细,越不容易造成高分低赋现象。

4.中等层次一下的学生,区分度更明显。按照老的赋分规则,在同一段的学生都赋一个分数;但按照新规则,比你卷面分高的人实际赋分就高。
假设物理学科原先卷面分50-56的考生赋分都是70分;在新规则下,就会出现卷面分55-56的考生赋分70,53-54的考生赋分69,51-52的考生赋分68,甚至更低。这样对于考生来说,一定程度能拉开考生之间的差距。
5.对于中等以上的同学来说,选考变得越来越难以通过规则的漏洞来拉开差距,考生之间的赋分差值越来越小。
比如,原规则下,两位成绩差不多的同学,三门选考科目卷面成绩各只相差1分,但实际赋分有可能各相差3分,总共相差9分。
这个9分简直可以从浙大变成浙师大。但在新规则下,这种情况就不存在了。高考分数的高低将更依据语数外三科的成绩。
附:赋分具体步骤为:
第一步,将卷面得分按人数比例划分为20个赋分区间,得出每个区间卷面得分的上限、下限。
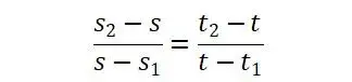
第二步,对每个区间的卷面得分进行等比例转换,公式为:

其中,s2、s1为卷面得分区间的上限和下限,s为待转换卷面得分;t2、t1为赋分区间的上限和下限,t为卷面得分等比例转换后的赋分。
第三步,将转换结果四舍五入后即为等级赋分。
举例说明:赋分区间为87-85,如对应的卷面得分区间为84-81,某考生的卷面得分为83,通过等比例转换:

可以得出t=86.3,四舍五入取整后的等级赋分为86分。
另外,关于选考科目保障机制,物理率先实行选考科目保障数量为6.5万人,2021年考试院文件明确所有选考科目保障基数为6.5万人。
以上常识社网www.changshishe.com介绍的新高考模式下的赋分值是怎么算的及其高考赋分制21个等级表的详细讲解,希望本文能给你带来生活上的帮助!
相关阅读
-
曼彻斯特大学排名2023 备受青睐的宝藏英国名牌大学
关于曼彻斯特大学排名2023的相关知识,接下来就是全面介绍。 备受青睐的宝藏英国名牌大学——曼彻斯特大学 曼彻斯特大学 The University of Manchester 曼彻斯特大学是一所门类齐全、科系众多的
-
天津高考赋分制21个等级表 新高考等级赋分是什么意思
「常识社」网为大家说一说天津高考赋分制21个等级表方面的经验,如有不对的地方欢迎指正! 新高考改革自从2023年在天津实施以来,最重要的变化就是高考赋分制的实行。 虽说该制度目前已
-
全国最难的卷子是哪个省 全国最难高考卷排名
常识社网网为大家说一说全国最难高考卷排名和全国最难的卷子是哪个省的生活小知识,一起来看看吧! 我国高考“最难”的两个省份,题目难,录取率低,学生叫苦不迭! 我国高考目前还是
-
中国科技大学在哪个城市 中国科学技术大学基本情况介绍
为大家介绍的是中国科技大学在哪个城市的相关话题,具体详情如下: 今天给大家带来的是中国科学技术大学! 中国科学技术大学简称中国科大,创建于1958年9月, 坐落于安徽省合肥市 。 中

