高中微积分的基本定理是什么 理解数学微积分基本定理内容
一个生活小知识,为大家介绍理解数学微积分基本定理内容和高中微积分的基本定理是什么的小经验,很不错的经验小知识,建议收藏哦!
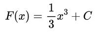
上一文提到牛顿莱布尼兹发现了积分和微分是一对互逆运算。好,既然要用反向微分的方法求面积,那我们就去找f(x)=x²的原函数,看看到底是哪个函数求导之后变成了f(x)=x²。我们用F(x)来表示这个原函数,那么F(x)就是它(C为常数):

大家不放心可以自己去验算一下,看看这个F(x)求导之后的结果是不是f(x)=x²。
因为求导是一个非常重要、基础的东西,所以求一些常见函数的导数和原函数都被一劳永逸的制成了表格,大家需要的时候直接去查,记住几个常用的就行。不过,在学习的初期,大家还是要亲自去算一些求导的例子。
有了f(x)=x²的原函数F(x)以后,怎么去求f(x)和x轴在0到1区间里围成的面积呢?前面已经分析了,原函数具有积分的效果,而积分就是曲线围成的面积,所以原函数也可以表示曲线围成的面积(为了方便理解,这里我们先不考虑常数c的影响,反正函数相减的时候常数c会抵消掉)。
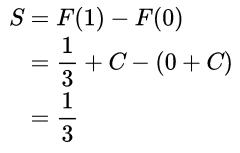
因此,我们要求f(x)与x轴在0到1区间内围成的面积,直接用这个代表面积的原函数F(x)在1处的值F(1)减去在0处的值F(0)就完了:

对,你没看错,这样就完了。
F(1)-F(0)就是曲线在0到1之间围成的面积,我们这样得到的结果是1/3,跟我们原来用矩形逼近计算的结果一模一样,惊不惊喜,意不意外?但是它明显比原来的方法简单太多太多太多了,简单到一个中学生都能轻而易举地算出来,这才是微积分的真正力量。
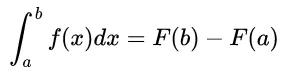
有了这样的铺垫,微积分基本定理(牛顿-莱布尼茨公式)就非常容易理解了:如果函数f(x)在区间a到b之间连续(简单理解就是曲线没有断),并且存在原函数F(x),那么就有:

这是式子的左边就是函数f(x)与x轴在a到b区间内围成的面积,这点我们在讲积分的时候讲过了:
相关阅读
-
中国科技大学在哪个城市 中国科学技术大学基本情况介绍
为大家介绍的是中国科技大学在哪个城市的相关话题,具体详情如下: 今天给大家带来的是中国科学技术大学! 中国科学技术大学简称中国科大,创建于1958年9月, 坐落于安徽省合肥市 。 中
-
全国最难的卷子是哪个省 全国最难高考卷排名
常识社网网为大家说一说全国最难高考卷排名和全国最难的卷子是哪个省的生活小知识,一起来看看吧! 我国高考“最难”的两个省份,题目难,录取率低,学生叫苦不迭! 我国高考目前还是
-
曼彻斯特大学排名2023 备受青睐的宝藏英国名牌大学
关于曼彻斯特大学排名2023的相关知识,接下来就是全面介绍。 备受青睐的宝藏英国名牌大学——曼彻斯特大学 曼彻斯特大学 The University of Manchester 曼彻斯特大学是一所门类齐全、科系众多的
-
天津高考赋分制21个等级表 新高考等级赋分是什么意思
「常识社」网为大家说一说天津高考赋分制21个等级表方面的经验,如有不对的地方欢迎指正! 新高考改革自从2023年在天津实施以来,最重要的变化就是高考赋分制的实行。 虽说该制度目前已


