-
养水母的水有毒吗(稳定水质盐度温度循环与喂养,避免误区)
水母本身的水并不有毒,毒性来自刺胞触发后注入遇到的表面,只有接触才会中毒。养好水母的关键是稳定的水质、盐度、温度与水流。自来水含氯需去氯或用人工海水,盐度约35‰、温
2026-01-13 2 -
多肉植物营养土配方(透气排水保水)
多肉土要透气、排水、保水与平衡养分。常见配方有:通用营养土(泥炭40、椰糠20、珍珠岩20、蛭石20)、高透气土(赤玉30、火山岩20、麦饭石20、泥炭30)、经济混合土(园土40、粗砂
2026-01-13 1 -
竞走一公里多少分钟(步频180-2007-8分起步提速到4分)
竞走1公里的时间受赛段、体能和路况影响;普通人约12分,竞走常见4–4.5分/公里,顶尖接近4分。比跑步对关节友好但要求高,训练不足易伤下背、髋部等。要点:支撑脚直立、髋部稳
2026-01-13 3 -
最大的独角仙是什么(长戟大兜虫与双叉犀金龟要点)
最大的独角仙为长戟大兜虫,成虫约180毫米,雄角显著,幼虫常重100到130克,成虫不吃以繁殖为目标。东亚也称“双叉犀金龟”为独角仙,6到8厘米,雄角分叉。幼虫重量极限因种而异,
2026-01-13 1 -
刚出生的小凤尾鱼吃什么(温度24-26度少量多餐定期换水)
新生凤尾鱼前几日通常不喂,靠卵黄囊养成;第二天起可用极小量、频次极高的喂养,观察水面是否有觅食。喂食要少量多餐,日5-6次,冬季4-5次。可喂切碎水蚯蚓、煮碎蛋黄并用纱布
2026-01-13 1 -
两尺二是多少厘米(1尺≈33.33厘米,腰围对照留试穿)
2尺2约等于73.33厘米,换算规律为1尺等于1/3米,约33.33厘米,常取两位小数。这个数在购物时用来对比腰围和衣长。实际尺码还受品牌与裁剪影响,28–29英寸腰围大致对应73–74厘米。测
2026-01-13 1 -
锦鲤甩籽后怎么处理(锦鲤繁育产卵后受精卵清理与幼鱼喂养要点)
锦鲤甩籽后,先分清受精与未受精卵并分开处理。孵化用木盆或深色盆,放水草让卵附着,便于观察与清理。水温稳定在23-25度,波动不超0.5度,18℃约5天、20℃约4天、25℃约3天。嫩绿水
2026-01-13 1 -
菊花的品种有哪些(花型多用途广)
菊花品种繁多,按花型、颜色与用途分门别类,筒状、重瓣、舌瓣并存,色从火红到淡黄。常见名有金背大红、墨菊、杭白菊、贡菊、金丝皇菊等,阳台亦能拼色。菊花是中国四君子之
2026-01-13 2 -
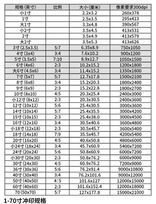
6寸照片多大看图(六寸照片两种常见尺寸及裁切要点成像区边距分辨率)
六寸照片其实有两种常见说法:一是18×24 cm的成像区,需再留3–5 mm边距;二是6×4英寸的比例,约15.24×10.16 cm。不同裁切习惯会让最终尺寸略有差异。冲印时要明确成像区、边距与单位
2026-01-13 0 -
水母会认主人吗(水母没有大脑和固定中枢神经?科学解读与养护要点)
水母没有大脑或固定中枢神经系统,神经网络分散,像松散的信号网,因此不可能记住谁、对你有情感依赖,也谈不上“认主人”的认知。它们在原始层面对环境有学习与适应,通常是
2026-01-13 0 -
称呼老公的特别叫法(古典称谓家内称呼幽默用语与专属记忆指南)
本文梳理称呼老公的多样化:把古典称谓如官人、良人、相公与现代生活结合,制造浪漫;把家庭角色融入称呼,如“当家的”“我家那位”,强调责任与归属;用幽默称呼(掌柜的、
2026-01-13 0 -
清炒芦笋要焯水吗(蒸后再炒保绿提香)
本文对芦笋的焯水、蒸煮与直炒进行对比。焯水定形亮色但易损维生素与口感;蒸煮更温和,保绿控苦,便于后续大火炒香。蒸后再炒能让香气锁在表面,汤汁更浓。预处理如清洗、去
2026-01-13 1 -
金鱼追逐后几天甩籽(控温分离记录)
金鱼产卵前雄鱼常紧贴雌鱼并在背后追逐,色泽变鲜、动作增多、鳍张开。追逐后多在2–3天内排卵,条件好时一周内也可能;水温升高约2℃、光照与氧等因素也会影响。南方繁殖季更
2026-01-13 1 -
7点到9点是什么时辰(辰时卯时的性格与日常节律)
辰时(07:00–09:00)属土,对应龙的意象,气场踏实稳健,出生者脚踏实地、打牢基础,善前行;卯时(05:00–07:00)属木,象征日出与新生,出生者朝气、直率、热情,能点燃氛围但需注
2026-01-13 1 -
鲤鱼籽几天孵化(温度水质光线与分缸养护)
鲤鱼产卵后多在4–7天孵出小鱼。温度是关键:18–22°C约4天,22–26°C约3天,超过30°C易异常或死亡。孵化需稳温,产卵水与孵化水差不超过0.5°C,23–25°C常用,水质要清透、光线柔和
2026-01-13 2 -
松针煮水洗发的正确方法(温和循序护理,水洗粉末茶饮要点)
要点是温和、循序。松针水:新鲜50g或干针30g煮沸,滤渣后温热洗头,每周2–3次,配合温和洗发水,避免过度清洁。松针粉量小,按包装,先局部试敏再用,避免刺激。松针茶饮宜量,
2026-01-13 1 -
1211灭火器是什么灭火器(电气火灾用,因破坏臭氧逐步退出市场)
1211灭火器是储压式卤代烷灭火剂,喷射由筒内氮气推动。其优点是灭火快、对电气设备绝缘友好、残留少且不腐蚀贵重仪器;缺点是对臭氧层有破坏,因此正在逐步退出市场。我国自
2026-01-13 0 -
腊月23是什么日子(北方二十三南方二十四的小年差异与祭灶糖瓜)
本文梳理腊月二十三至二十四在北方和南方的“小年”差异:北方多在二十三,南方多在二十四,江浙沪甚至把除夕前夜也算。核心仪式是祭灶与糖瓜,糖瓜象征甜蜜祈愿,灶糖承载一
2026-01-13 0 -
第四季度有多少天(92天稳定跨年计划锚点,按季度分解目标更易实现)
第四季度由十月31天、十一月30天、十二月31天组成,总天数固定为92天,无论平年闰年都不变。四季度的日数分布各不同:Q1平年90天、闰年91天,Q2为91天,Q3为92天,Q4也为92天。92天的稳
2026-01-13 0 -
七寸是多少厘米(寸英寸厘米换算速查与裁切要点)
“寸”在中文里有两套单位:传统寸≈3.33厘米,英寸=2.54厘米,因此7寸可能对应23.31厘米或17.78厘米。日常照片多用7×5英寸的尺寸,约17.78×12.7厘米。打印裁切时要看清标注的单位,避免
2026-01-13 1
